DISTÂNCIA ANOGENITAL
DISTÂNCIA ANOGENITAL (0 A 2 ANOS)

Figura 1: A distância anogenital é aferida do centro do ânus à junção entre a pele perineal fina e a pele enrugada do escroto nos meninos, e entre o centro do ânus e a convergência posterior da vulva nas meninas, usando uma pinça de Vernier1.
Figura 2: A distância anogenital em meninos1.


Figura 3: A distância anogenital em meninas1.
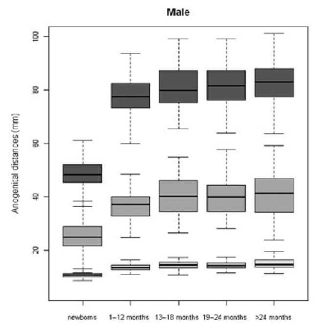
DISTÂNCIA ANOGENITAL E DISTÂNCIA ANOESCROTAL NOS PRIMEIROS 2 ANOS DE VIDA

Figura 4:
Distância anogenital (AGD), anoescrotal (ASD), anoclitoridiana (ACD) e anofurquetal (AFD). (Fonte: PAPADOPOULOU, E. et al., 2013).
Sexo masculino:
- Distância anogenital (AGD): medida da base anterior do pênis ao centro do ânus.
- Distância anoescrotal (ASD): medida da base posterior do escroto ao centro do ânus.
Sexo feminino:
- Distância anoclitoridiana (ACD): meedida do clitóris ao centro do ânus.
- Distância anofurcular (AFD): medida da comissura posterior dos lábios da vulva ao centro do ânus.

Figura 5: Distância anogenital (AGD) e anoescrotal (ASD) e largura peniana (PW) (de cima para baixo) (Fonte: PAPADOPOULOU, E. et al., 2013).

Figura 4: Distância anoclitoridiana (ACD) e anofurquetal (AFD) (de cima para baixo) (Fonte: PAPADOPOULOU, E. et al., 2013).
REFERÊNCIAS BIBLIOGRÁFICAS
- THANKAMONY, A.; ONG, K.K.; DUNGER, D.B.; ACERINI, C.L. & HUGHES, L.A.: Anogenital distance from birth to 2 years: a population study. Environmental health perspectives (2009); 117(11), 1786-1790.
- PAPADOPOULOU, E.; VAFEIADI, M.; AGRAMUNT, S.; BASAGAÑA, X; MATHIANAKI, K.; KARAKOSTA, P.; SPANAKI, A.; KOUTIS, A.; VRIJHEID, M. & KOGEVINAS, M.: Anogenital distances in newborns an children from Spain and Greece: Predictors, Tracking and Reliability. Paediatric and Perinatal Epidemiology, 2013, 27, 89-99.